tnotes
:
ZustandsautomatenMitAusgabe
Categories
PageIndex
RecentChanges
RecentlyCommented
Login/Register
Search:
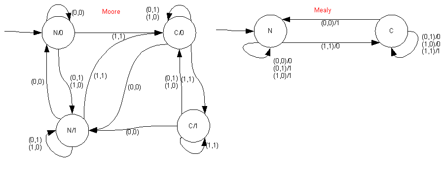
Zustandsautomaten mit Ausgabe
(
SkriptAtfsEckNr1
, S. 33)
Siehe auch
Valid XHTML
::
Valid CSS:
::
Powered by WikkaWiki